父亲愿以命来换,救潘雅轩回院治疗
发布机构:金华市慈善总会施乐会
已募善款:10821.00 元 筹款目标: 50000.00 元
项目已完结
参捐人数:240 人参与捐助
上线时间:上线筹款12.2年
项目介绍
善款去向
财务披露
机构信息
潘雅轩,女,3岁,家住山东潍坊市安丘市安丘市凌河镇红河崖村30号。潘雅轩于2012年6月4日在医院被诊断出患有白血病。现在在潍坊人民医院小儿血液科39床住院治疗。目前已经花费了3万多医药费。面对后续治疗费用,家里面临经济压力。
家庭成员:
父亲:潘文付,59岁,小学文化,患有腰间盘突出,在农村干建筑,每个月收入1000元。
母亲:王金香,58岁,小学文化,常年吃药,无经济收入。
本人:潘宝,30岁,初中文化,在农村干建筑,每个月收入1500元。
妻子:王贻红,27岁,小学文化,家庭主妇,无经济收入。
弟弟:潘爱宝,26岁,研究生,在校学生,每天年花销10000元左右。
女儿:潘雅轩,3岁,无文化,患有白血病,现在住院。
家庭情况叙述:
我叫潘宝,来自山东安丘农村的一个普通家庭,世代都是农民,家里有年近60岁体多病的父母,还有一个正在读书的弟弟,爱人没有工作,全家收入基本靠种地跟我闲时干建筑来维持,不富裕但还算温馨。2009年女儿的降生给全家凭添许多了惊喜与欢乐,一度觉得生活有更多的期待与意义可一切结束的这么快,意外突然就降临了。
2012年5月20号,我刚刚满两岁九个月的女儿潘雅轩开始发烧,全身乏力,爱哭闹,由于家庭条件不好加上也没有预见到事情的严重性,只是当做普通感冒在村里的卫生室打针治疗,没有去大医院做全面的检查,可是治疗十几天后孩子低烧不退,情况一直不见好转。这时才在村医生的建议下来到潍坊市人民医院做全面检查,经过骨穿,血液检查,主治医生们几次集体会诊以后确定--急性淋巴细胞白血病,病魔随时都可能夺走孩子的生命。
之前只是听说过白血病是一种非常可怕的病,而且很难治愈。我活蹦乱跳爱说爱笑的女儿怎么可能得白血病呢?作为孩子的父亲,简直不相信这是真的,一瞬间觉得天都要塌了,上天怎么会忍心摧残一个未经世事的孩子呢?得知此消息,全家人都陷入了无比的悲痛甚至是绝望之中等我冷静之后觉得不幸降临了就必须面对,更何况是我女儿的生命。通过仔细咨询医生了解到女儿的病情属于急性淋巴细胞白血病,是可以治愈的,只是治疗的时间比较长而且费用比较高。得知这个情况我就下定决心只要有一线的希望,我就会倾尽所有救她。尽管有了决心但是几十万的治疗住院费用让我这个以种地打工为主要经济来源的家庭雪上加霜。
从确诊那天开始我东奔西走,通知了所有的亲戚朋友左邻右舍,在大家你一百我一百的援助下好不容易凑了点钱,于2012年6月4日办理住院手续,住进了潍坊市人民医院小儿血液科11病房39床。开始了对白血病的治疗与化疗。到今天已经完成了第一个疗程的化疗,在7月3日全面的检查,原始幼淋已从97%降到2%主治医生说孩子的情况有了一定好转,治愈的可能性很大让全家人一直揪着的心有了一丝安慰。
根据医生的治疗方案,频繁的检查、化验、输血、化疗以及定期的骨髓穿刺和腰穿让女儿原本就弱小的身体更加瘦弱消瘦,每天上千元的费用也让贫困的家庭步履维艰,亲朋好友的力量也显得杯水车薪。
在女儿治疗期间,我详细咨询了许多大夫、查阅了许多资料也对有相同情况的病人家属进行了了解,急性淋巴细胞白血病的治疗周期是两到三年,假如没有任何的感染治疗效果理想,治疗费用保守估计也得需要30万元,但还有二次复发的可能,后期的护理也非常重要。
现在经济上的困难成为全家最头疼的问题,听朋友说施乐会是一个能帮助有困难人的组织,那里有许多善良热心的人。在此,我仅一个父亲的身份恳求爱心人士和广大网友伸出您的援手,用您温暖的心温暖我可爱又可怜的女儿,重新赋予她生的权利,满足她对生命的渴望!!挽救我的小天使,重塑我们全家人的希望!!!
家庭经济收入:
父亲59岁因生活所迫地里没活情况下在建筑工地干小工一月1000元左右,我在农村建筑队干活月收入1500元。
居住情况:
家住山东省安丘市凌河镇红河崖村30号3间瓦房,由于地基下陷,墙体裂缝也没有钱修补。
我最大的愿望是希望我的女儿能继续治疗下去,好让她健康活下去。
说明:非常感谢各位对该主题的关注和支持。施乐会是代收善款,开具发票程序较烦琐,且金额也有一定的限制(单笔两千元以上),请各位知晓,谢谢!
善款用途:
主题所捐善款,全部汇入潍坊市人民医院用于潘雅轩治疗费用。
家庭成员:
父亲:潘文付,59岁,小学文化,患有腰间盘突出,在农村干建筑,每个月收入1000元。
母亲:王金香,58岁,小学文化,常年吃药,无经济收入。
本人:潘宝,30岁,初中文化,在农村干建筑,每个月收入1500元。
妻子:王贻红,27岁,小学文化,家庭主妇,无经济收入。
弟弟:潘爱宝,26岁,研究生,在校学生,每天年花销10000元左右。
女儿:潘雅轩,3岁,无文化,患有白血病,现在住院。
家庭情况叙述:
我叫潘宝,来自山东安丘农村的一个普通家庭,世代都是农民,家里有年近60岁体多病的父母,还有一个正在读书的弟弟,爱人没有工作,全家收入基本靠种地跟我闲时干建筑来维持,不富裕但还算温馨。2009年女儿的降生给全家凭添许多了惊喜与欢乐,一度觉得生活有更多的期待与意义可一切结束的这么快,意外突然就降临了。
2012年5月20号,我刚刚满两岁九个月的女儿潘雅轩开始发烧,全身乏力,爱哭闹,由于家庭条件不好加上也没有预见到事情的严重性,只是当做普通感冒在村里的卫生室打针治疗,没有去大医院做全面的检查,可是治疗十几天后孩子低烧不退,情况一直不见好转。这时才在村医生的建议下来到潍坊市人民医院做全面检查,经过骨穿,血液检查,主治医生们几次集体会诊以后确定--急性淋巴细胞白血病,病魔随时都可能夺走孩子的生命。
之前只是听说过白血病是一种非常可怕的病,而且很难治愈。我活蹦乱跳爱说爱笑的女儿怎么可能得白血病呢?作为孩子的父亲,简直不相信这是真的,一瞬间觉得天都要塌了,上天怎么会忍心摧残一个未经世事的孩子呢?得知此消息,全家人都陷入了无比的悲痛甚至是绝望之中等我冷静之后觉得不幸降临了就必须面对,更何况是我女儿的生命。通过仔细咨询医生了解到女儿的病情属于急性淋巴细胞白血病,是可以治愈的,只是治疗的时间比较长而且费用比较高。得知这个情况我就下定决心只要有一线的希望,我就会倾尽所有救她。尽管有了决心但是几十万的治疗住院费用让我这个以种地打工为主要经济来源的家庭雪上加霜。
从确诊那天开始我东奔西走,通知了所有的亲戚朋友左邻右舍,在大家你一百我一百的援助下好不容易凑了点钱,于2012年6月4日办理住院手续,住进了潍坊市人民医院小儿血液科11病房39床。开始了对白血病的治疗与化疗。到今天已经完成了第一个疗程的化疗,在7月3日全面的检查,原始幼淋已从97%降到2%主治医生说孩子的情况有了一定好转,治愈的可能性很大让全家人一直揪着的心有了一丝安慰。
根据医生的治疗方案,频繁的检查、化验、输血、化疗以及定期的骨髓穿刺和腰穿让女儿原本就弱小的身体更加瘦弱消瘦,每天上千元的费用也让贫困的家庭步履维艰,亲朋好友的力量也显得杯水车薪。
在女儿治疗期间,我详细咨询了许多大夫、查阅了许多资料也对有相同情况的病人家属进行了了解,急性淋巴细胞白血病的治疗周期是两到三年,假如没有任何的感染治疗效果理想,治疗费用保守估计也得需要30万元,但还有二次复发的可能,后期的护理也非常重要。
现在经济上的困难成为全家最头疼的问题,听朋友说施乐会是一个能帮助有困难人的组织,那里有许多善良热心的人。在此,我仅一个父亲的身份恳求爱心人士和广大网友伸出您的援手,用您温暖的心温暖我可爱又可怜的女儿,重新赋予她生的权利,满足她对生命的渴望!!挽救我的小天使,重塑我们全家人的希望!!!
家庭经济收入:
父亲59岁因生活所迫地里没活情况下在建筑工地干小工一月1000元左右,我在农村建筑队干活月收入1500元。
居住情况:
家住山东省安丘市凌河镇红河崖村30号3间瓦房,由于地基下陷,墙体裂缝也没有钱修补。
我最大的愿望是希望我的女儿能继续治疗下去,好让她健康活下去。
说明:非常感谢各位对该主题的关注和支持。施乐会是代收善款,开具发票程序较烦琐,且金额也有一定的限制(单笔两千元以上),请各位知晓,谢谢!
善款用途:
主题所捐善款,全部汇入潍坊市人民医院用于潘雅轩治疗费用。
- 化疗的有点掉头发的轩轩和姥姥

- 护士阿姨正在输液由于没钱植PICC只能天天扎针

- 谁能帮帮我?

- 轩轩和爸爸妈妈的房间

- 潘雅轩的户口本

- 潍坊人民医院开具的诊断书

- 镇上和村里开的贫困证明

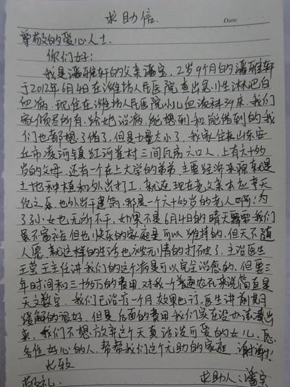
- 轩轩的爸爸写的求助信

- 正在加载数据,请稍候
支付宝公益平台募款财务披露
善款支出金额: 暂无财务进展
机构信息
金华市慈善总会施乐会