您的援手,就是在给倪欣怡生命
发布机构:金华市慈善总会施乐会
已募善款:1822.60 元
项目已完结
参捐人数:107 人参与捐助
上线时间:上线筹款11.9年
项目介绍
善款去向
财务披露
机构信息
安庆电视台《新闻800》栏目对小欣怡的报道(从22分钟开始):http://60.175.6.73/2014-03/10/cms214420article.shtml
安徽卫视公共频道关于小欣怡的报道:http://url.cn/L1wvRx
倪欣怡,女,5岁,家住安徽省安庆市怀宁县金拱镇王山村倪安组013号。2013年6月份被查出患有“重型再生障碍性贫血”,目前疗费用已经用掉了三十余万元,亲戚朋友能借的都借遍了。目前小欣怡严重感染已经两个礼拜,病情危重,正在治疗中。家里已经凑不到钱给孩子治病,后期如果做骨髓移植手术,费用还需要50万元,请求社会各界爱心人士伸出援手帮帮他们!
家庭成员
爸爸:倪彭军,年龄30岁,原先在深圳工作现已辞职,在苏州儿童医院照顾女儿
妈妈:陈小彬,年龄29岁,在家照顾孩子
弟弟:倪近轩,年龄1 岁
家庭情况叙述:
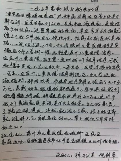
“重型再生障碍性贫血”,这个病目前在医学上还是个新名词,医学专家们说,它属于血液疾病,危险性不亚于白血病。这种噩梦般的疾病,2013年6月份的时候,就缠上了我5岁的女儿倪欣怡。发病初期发烧近两个月,由深圳儿童医院转到安徽第一医院再转到苏州儿童医院治疗,在苏州儿童医院医生曾一度放弃了治疗,我和妻子一再苦苦哀求才继续治疗下去,女儿很幸运最终高烧平稳住了,才有机会做保守治疗-上ATG了(所谓的“ATG”就是冲猪抗,从猪身上提炼出的一种抗体,由静脉注射到人体内)。这药物使用也是非常危险的,若体内对其产生排斥而发生不良反应会导致病人呼吸停止,相对骨髓移植的风险,我们也只能为了女儿为此一搏了。ATG至今将近五个月,女儿各项血液指标一点都没改善,保守治疗费用已经用掉了三十余万元,亲戚朋友能借的都借遍了。家里还有一个瘫痪在床的老奶奶,一个一岁的儿子,家里的开销全靠年迈的爷爷种田和做小工勉强维持着。我和妻子一起照顾着女儿,女儿现在在苏州儿童医院每月的抗感染医药费和输血费近10万元。医生要求我们做骨髓移植手术,费用需要50万元,对于我们普通家庭来说就是天文数字,女儿的康复之路还很漫长,没钱就治不了病,孩子的生命就维持不了,我们实在是放不下我们的女儿,小小年纪就要离开我们,我们想看着她上学,长大成人,实在没有办法才请求社会各界爱心人士帮帮我们!
家庭经济收入:
家庭现在主要的经济来源全靠年迈的爷爷种庄稼维持着家庭开支,我已经辞职和妻子在苏州儿童医院照顾病重的女儿。现在家庭无收入,女儿治病的费用全是向亲戚借的35万元。
居住情况:
倪欣怡老家是农村的,居住的是平房,是村里的特困户。
受助人的梦想:
倪欣怡希望自己能康复,长大后当一名医生,去帮助更多需要帮助的人。
善款用途:
在施乐会所得善款汇入苏州大学附属儿童医院医院用于受助人后续治疗费用。 帐户名称:苏州大学附属儿童医院 帐号:325602000010149820***开户行:交行石路支行。
说明:非常感谢各位对该主题的关注和支持。施乐会是代收善款,开具发票程序较烦琐,且金额也有一定的限制(单笔两千元以上),请各位知晓,谢谢!
安徽卫视公共频道关于小欣怡的报道:http://url.cn/L1wvRx
倪欣怡,女,5岁,家住安徽省安庆市怀宁县金拱镇王山村倪安组013号。2013年6月份被查出患有“重型再生障碍性贫血”,目前疗费用已经用掉了三十余万元,亲戚朋友能借的都借遍了。目前小欣怡严重感染已经两个礼拜,病情危重,正在治疗中。家里已经凑不到钱给孩子治病,后期如果做骨髓移植手术,费用还需要50万元,请求社会各界爱心人士伸出援手帮帮他们!
家庭成员
爸爸:倪彭军,年龄30岁,原先在深圳工作现已辞职,在苏州儿童医院照顾女儿
妈妈:陈小彬,年龄29岁,在家照顾孩子
弟弟:倪近轩,年龄1 岁
家庭情况叙述:
“重型再生障碍性贫血”,这个病目前在医学上还是个新名词,医学专家们说,它属于血液疾病,危险性不亚于白血病。这种噩梦般的疾病,2013年6月份的时候,就缠上了我5岁的女儿倪欣怡。发病初期发烧近两个月,由深圳儿童医院转到安徽第一医院再转到苏州儿童医院治疗,在苏州儿童医院医生曾一度放弃了治疗,我和妻子一再苦苦哀求才继续治疗下去,女儿很幸运最终高烧平稳住了,才有机会做保守治疗-上ATG了(所谓的“ATG”就是冲猪抗,从猪身上提炼出的一种抗体,由静脉注射到人体内)。这药物使用也是非常危险的,若体内对其产生排斥而发生不良反应会导致病人呼吸停止,相对骨髓移植的风险,我们也只能为了女儿为此一搏了。ATG至今将近五个月,女儿各项血液指标一点都没改善,保守治疗费用已经用掉了三十余万元,亲戚朋友能借的都借遍了。家里还有一个瘫痪在床的老奶奶,一个一岁的儿子,家里的开销全靠年迈的爷爷种田和做小工勉强维持着。我和妻子一起照顾着女儿,女儿现在在苏州儿童医院每月的抗感染医药费和输血费近10万元。医生要求我们做骨髓移植手术,费用需要50万元,对于我们普通家庭来说就是天文数字,女儿的康复之路还很漫长,没钱就治不了病,孩子的生命就维持不了,我们实在是放不下我们的女儿,小小年纪就要离开我们,我们想看着她上学,长大成人,实在没有办法才请求社会各界爱心人士帮帮我们!
家庭经济收入:
家庭现在主要的经济来源全靠年迈的爷爷种庄稼维持着家庭开支,我已经辞职和妻子在苏州儿童医院照顾病重的女儿。现在家庭无收入,女儿治病的费用全是向亲戚借的35万元。
居住情况:
倪欣怡老家是农村的,居住的是平房,是村里的特困户。
受助人的梦想:
倪欣怡希望自己能康复,长大后当一名医生,去帮助更多需要帮助的人。
善款用途:
在施乐会所得善款汇入苏州大学附属儿童医院医院用于受助人后续治疗费用。 帐户名称:苏州大学附属儿童医院 帐号:325602000010149820***开户行:交行石路支行。
说明:非常感谢各位对该主题的关注和支持。施乐会是代收善款,开具发票程序较烦琐,且金额也有一定的限制(单笔两千元以上),请各位知晓,谢谢!
- 安庆电视台《新闻800》栏目对小欣怡的报道

- 安庆电视台《新闻800》栏目对小欣怡的报道

- 安庆电视台《新闻800》栏目对小欣怡的报道

- 安庆电视台《新闻800》栏目对小欣怡的报道

- 安庆电视台《新闻800》栏目对小欣怡的报道

- 小欣怡每天都要进行输液,小手臂已经被扎的都是针孔

- 小欣怡的户口本

- 小欣怡的医院诊断证明书

- 小欣怡的贫困证明

- 小欣怡爸爸写的手写求助信

- 正在加载数据,请稍候
支付宝公益平台募款财务披露
善款支出金额: 暂无财务进展
机构信息
金华市慈善总会施乐会